Recently, Prof. Lu.-Ming Duan’s research team, in collaboration with Prof. Yong Xu, in the Institute for Interdisciplinary Information Sciences (IIIS) at Tsinghua University has experimentally demonstrated and theoretically analyzed a power-law scaling in the dynamics of a spin-1 condensate across a first-order quantum phase transition, when a Bose-Einstein condensate is slowly driven from a polar phase to an antiferromagnetic phase. This result has been published online in Science Advances (see the link for the published paper //advances.sciencemag.org/content/6/21/eaba7292).
The Kibble-Zurek mechanism (KZM) provides a unified theory to describe the universal scaling laws in the dynamics when a system is driven through a second-order quantum phase transition. And it has found various applications ranging from cosmology to condensed matter. The KZM describes the dynamics across the transition point by three evolution regions: two adiabatic and one impulse regions. Specifically, when a system is far away from the transition point, the relaxation time is sufficiently short so that the system can respond to the change of a parameter and the dynamics is adiabatic. When the system is tuned to be near the point, it enters into an impulse region, where the relaxation time is sufficiently long so that the system cannot adapt to the change and thus remains frozen. After the impulse region, the energy gap becomes large and the system reenters into an adiabatic region. Based on the KZM, universal scaling laws are predicted across continuous quantum phase transitions for various quantities.
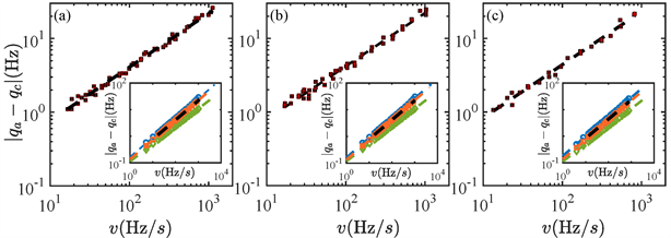
However, for first-order quantum phase transitions, multiple phases coexist at the transition point, and the KZM is usually not applicable. Prof. Lu.-Ming Duan’s research team theoretically generalized the traditional KZM to the first-order quantum phase transition by considering the energy gap between the maximally occupied state (corresponding to the metastable phase) and its corresponding first excited state and found very good agreement with numerical simulation results. Their experimental measurements further support the generalized KZM (see Fig. 1). These results open the door for further exploring the generalized KZM to understand the dynamics across first-order quantum phase transitions.

Fig. 1 Experimental and theoretical results of generalized Kibble-Zurek mechanism
The co-first authors of the paper are graduate students Li-Yuan Qiu, Hai-Yu Liang and Yan-Bin Yang in the IIIS at Tsinghua University. The corresponding authors are Prof. Lu-Ming Duan and Prof. Yong Xu in the IIIS. Other coauthors include the postdoctoral researcher Hao-Xiang Yang and graduate student Tian Tian in the IIIS. This work was supported by the Frontier Science Center for Quantum Information of the Ministry of Education of China, Tsinghua University Initiative Scientific Research Program, and the National key Research and Development Program of China.