清华大学飞球直播
信息研究院量子信息中心金奇奂研究组成功地在囚禁离子系统中模拟了量子拉比模型。该成果论文《用一个囚禁离子模拟量子拉比模型》于4月30日发表于国际学术期刊《物理评论X》(Phys. Rev. X)。

图 1 深强耦合区域量子拉比模型的基态
量子模拟可能是像量子计算机一样可被相干控制的量子系统的最有希望的应用之一。目前,已经有许多用冷原子或囚禁离子进行量子模拟的成功演示。然而,这些演示大多被限制在利用系统的自旋自由度,如Ising自旋模型的模拟。在这项工作中,我们首次同时对自旋和玻色子自由度进行量子模拟。我们所模拟的量子拉比模型(QRM)是描述光与物质相互作用的基本模型之一。
最近,人们研究当光与物质之间的耦合强度接近或比光本身的频率更大(即所谓的超强或深强耦合区域)时的QRM的兴趣日益增加。当耦合强度与玻色子场的模式频率相比小得多时,量子拉比模型可以简化为Jaynes-Cummings模型(JCM),这一模型简单地描述了与自旋激发或退激发相关的光子的吸收或发射现象。当耦合强度增加时,QRM哈密顿量的基态揭示了自旋和光子之间的纠缠,如图1所示。虽然我们能够从理论上推断出QRM哈密顿量的奇异基态,但并没有通过实验观察到它们。
在这项工作中,我们的实验系统是被囚禁在由振荡电场产生的谐振子势阱中的单个171Yb +离子。通过适当地调节聚焦于171Yb +离子上的拉曼激光束的频率, 我们在一个与激光频率相关的旋转坐标系中产生QRM哈密顿量。在这个有效哈密顿量中,我们可以通过简单地调整激光频率来任意地控制耦合强度和模式频率的比率。囚禁离子模拟器的可控性使我们能够通过实验探索QRM的许多通常难以观测的现象,如在超强和深强耦合区域的奇特现象。例如,我们通过实验观察到旋转波近似的失效和往复运动的声子波包的出现。最重要的是,我们绝热地制备了深强耦合区域QRM的基态,并检测到玻色子场和二能级系统之间的非平凡的量子纠缠。

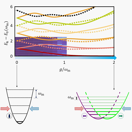
图 2 量子拉比模型的能谱。在实验中,我们通过相干驱动的方式来测量量子拉比模型的能谱。
本实验由飞球直播
信息研究院的博士研究生吕定顺博士、安硕明博士和刘振宇博士共同完成。飞球直播
信息研究院的助理研究员张静宁,巴斯克地区大学的Julen S. Pedernales博士、Lucas Lamata教授和Enrique Solano教授为实验提供理论支持。该工作的第一作者是吕定顺博士,通讯作者是张静宁和金奇奂。这项工作受到中国国家重点科学研究计划项目(项目编号:2016YFA0301900、2016YFA0301901)和国家自然科学基金项目(项目编号:11374178,11574002,11504197)的支持。
论文全文链接://journals.aps.org/prx/abstract/10.1103/PhysRevX.8.021027
(文/吕定顺、张静宁、金奇奂)