姚班2012级本科生罗宇男在机器学习与计算生物学课题组曾坚阳教授指导下开展的关于大规模异构网络中药物-标靶相互作用预测的论文“A Network Integration Approach for Drug-Target Interaction Prediction and Computational Drug Repositioning from Heterogeneous Information”(《基于异构网络信息整合的药物-靶标相互作用预测和药物的重新定位》)于近日发表在Nature Communications(《自然·通讯》)杂志上。该工作提出了一套新颖的预测药物-标靶相互作用的机器学习算法,预测并发现了新的药物-标靶基因相互作用关系,并且得到了湿实验验证。该工作对大规模生物数据整合及预测、药物开发与重新利用具有很大意义。

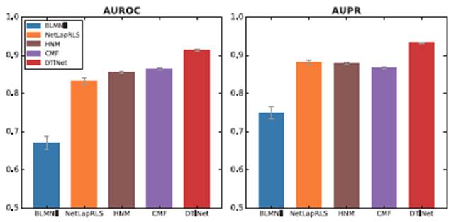
药物-标靶相互作用预测是药物发现和重定位的关键步骤。大规模基因组、化学和药理数据的出现为药物-标靶相互作用预测提供了新的机会,但如何系统且高效地整合大规模异构数据是当前的研究难点。姚班2012级本科生罗宇男在曾坚阳教授指导下,提出了一套全新的药物-标靶相互作用预测方法,该工作从目前已有的大规模数据库出发,构建了一个涵盖描述标靶基因、药物、药物副作用、疾病等相互作用或者联系的大规模异构网络。其次,在这个异构网络数据的基础上,提出了一个基于网络扩散的药物-靶标相互作用预测的机器学习算法。该算法使用特征学习算法,用低维表示刻画了每一个药物及基因的拓扑性质,从而去除生物数据中的噪音,提取出药物和基因的功能信息,并提升预测的准确性。与现有常见的预测算法的比较,该方法在预测准确率上取得了显著的提高。此外,该方法所预测的新相互关系大部分能够从已知的数据库或者近期文献中的新结果获得证实。曾坚阳研究组进一步同清华大学医学院的陈立功实验室进行合作,对该方法预测的且未被之前研究工作所报道的药物-靶标相互作用关系进行实验验证。实验发现,该方法预测的存在于Alendronate,Telmisartan和Chlorpropamide这三种药以及PTGS1和PTGS2这两种标靶基因之间的作用关系在实验中确实显现了相互作用现象。对这些药物对靶标的下游基因表达的影响的进一步分析以及它们对炎症因子表达的影响表明上述几种药也可能具有抗炎症的功能。这一发现对这三个药物的重新定位及后续相关研究具有重要的意义。


《自然·通讯》是《自然》杂志旗下的子刊之一,2016年度影响因子为12.124。该项工作同清华大学药学院陈立功教授实验室以及美国伊利诺伊大学香槟分校Jian Peng教授研究组共同合作完成。该论文的共同第一作者为飞球直播
姚班2012级本科生罗宇男(目前在美国伊利诺伊大学香槟分校攻读博士学位)、药学院博士生赵心彬以及药学院2012级本科生周镜天(目前在美国加州大学圣地亚哥分校攻读博士学位)。论文通讯作者为曾坚阳教授、陈立功教授和Jian Peng教授。研究工作得到国家自然科学基金和清华大学结构生物学高精尖创新中心的经费支持。
论文链接://www.nature.com/articles/s41467-017-00680-8